科研進展
南極半島上層海水變暖導致冰川運動加速研究獲新進展
冰—氣—海耦合過程是當前極地冰凍圈研究中極具挑戰性的科學問題之一。全球氣候變暖背景下,近幾十年來南極冰蓋物質損失呈加劇趨勢,主要表現為入海冰川(潮汐冰川)的動力失衡與異常流動。然而,目前學界針對海洋過程對入海冰川的調控機制、冰川自身驅動機制的認識仍存在不足。因此,系統揭示南極冰川運動演化特征及其對全球氣候變暖的響應機制,對深化南極冰蓋的認知具有重要科學價值。
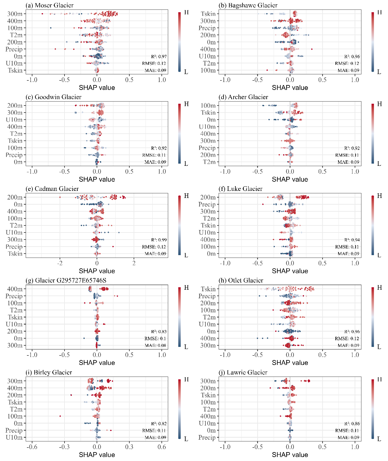
中國科學院西北生態環境資源研究院冰凍圈科學與凍土工程全國重點實驗室康世昌研究員團隊,基于2015年5月至2025年4月的Sentinel-1衛星觀測數據,系統分析了南極半島Beascochea海灣101條冰川流速變化特征,重點揭示了海灣上層海水變暖對冰川流速加快的關鍵作用。
研究表明,十年間Beascochea海灣冰川夏季平均流速增幅達1.81 ± 0.65%,較冬季均值高出約0.88%;夏季最大增速為 6.44 ± 0.74%。自2018年起,冰川流動出現大范圍加速,期間最高年增速達4.04 ± 0.50% yr?1。通過多種模型分析發現,該海灣0–300 m 深度的上層海洋變暖是冰川流動增速的主導因素,持續的冰川流速加快與海洋次表層淺部熱量輸入密切相關,而非冰川融水作用。
研究指出,在冰川動力學穩定性下降的背景下,未來海洋熱力強迫可維持長期流速加快,將加劇南極半島冰川物質損失。
該成果以Decadal glacier flow acceleration caused by upper ocean warming in the Antarctic Peninsula為題,發表于國際期刊International Journal of Applied Earth Observation and Geoinformation上。西北研究院康育龍博士為論文第一作者,康世昌研究員為論文通訊作者。該研究獲中國科學院國際合作項目和甘肅省科技計劃項目資助。
論文鏈接:https://authors.elsevier.com/sd/article/S1569-8432(26)00184-6

南極半島Beascochea海灣冰川流速、末端高程與海溫變化示意圖

通過XGBoost 與 SHAP 模型分析不同驅動因子對冰川流速的影響。0-400 m 代表不同深度的海洋溫度;Precip 表示冰川表面降水量;T2m 表示 2 米氣溫;U10m 表示 10 米風速;Tskin 表示冰川表面溫度。

通過CCM模型分析不同深度海溫對冰川流速的影響




